BusphotoBUSPHOTO

Picture Statistics

337 KB


Picture ID:170520
File Size:337 KB
Autorul:королёв юра
Publication Date:08.03.2017 18:45 EET
Days in Database:3256
Unique views:272
Comments:0

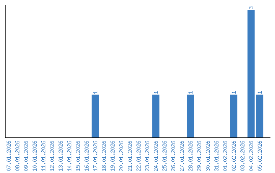
Viewing statistics by date