BusphotoBUSPHOTO

Picture Statistics

312 KB


Picture ID:166574
File Size:312 KB
Author:kocour
Publication Date:06.02.2017 15:38 EET
Days in Database:3286
Unique views:334
Comments:0

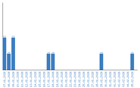
Viewing statistics by date