BusphotoBUSPHOTO

Picture Statistics

190 KB


Picture ID:166496
File Size:190 KB
Author:olegp
Publication Date:05.02.2017 18:09 EET
Days in Database:3283
Unique views:367
Comments:0

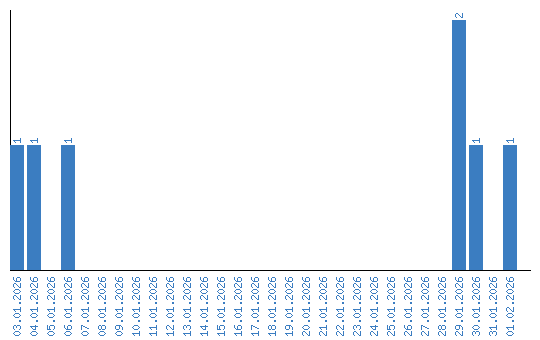
Viewing statistics by date