BusphotoBUSPHOTO

Picture Statistics

490 KB


Picture ID:161386
File Size:490 KB
Author:Алексей
Publication Date:17.11.2016 19:41 EET
Days in Database:3362
Unique views:180
Comments:0

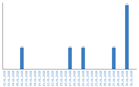
Viewing statistics by date