BusphotoBUSPHOTO

Статистика по зображенню

480 КБ


Ідентифікатор зображення:158586
Розмір файлу:480 КБ
Автор:IKS
Опубліковано:04.10.2016 00:04 EET
Знаходиться на сайті, днів:3364
Унікальних переглядів:389
Коментарів:8

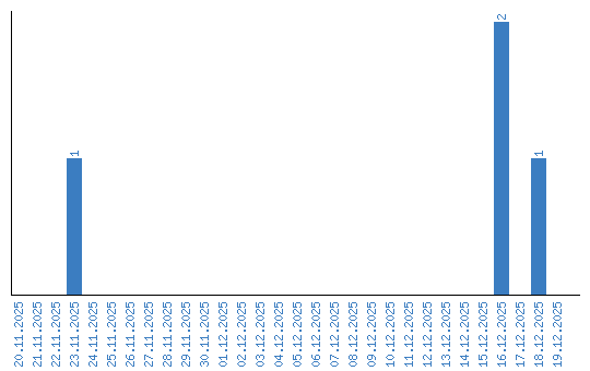
Динаміка переглядів за датами