BusphotoBUSPHOTO

Picture Statistics

249 KB


Picture ID:158561
File Size:249 KB
Author:Sergio87
Publication Date:03.10.2016 21:11 EET
Days in Database:3415
Unique views:370
Comments:1

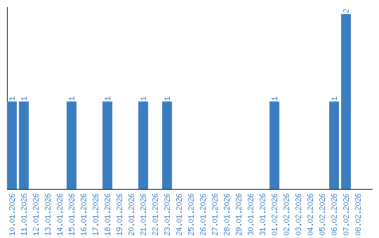
Viewing statistics by date