BusphotoBUSPHOTO

Picture Statistics

475 KB


Picture ID:157365
File Size:475 KB
Author:Сахон
Publication Date:15.09.2016 21:54 EET
Days in Database:3382
Unique views:355
Comments:0

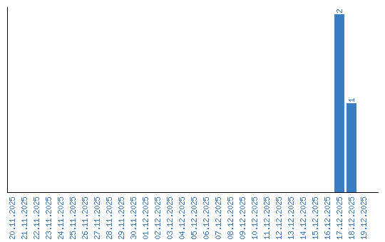
Viewing statistics by date