BusphotoBUSPHOTO

Picture Statistics

348 KB


Picture ID:156529
File Size:348 KB
Author:Archi
Publication Date:26.08.2016 02:28 EET
Days in Database:3453
Unique views:193
Comments:0

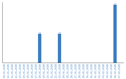
Viewing statistics by date