BusphotoBUSPHOTO

Picture Statistics

325 KB


Picture ID:155065
File Size:325 KB
Author:Транзит-116RUS
Publication Date:31.07.2016 22:42 EET
Days in Database:3478
Unique views:320
Comments:0

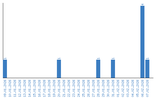
Viewing statistics by date