BusphotoBUSPHOTO

Picture Statistics

218 KB


Picture ID:153903
File Size:218 KB
Author:olegp
Publication Date:10.07.2016 18:10 EET
Days in Database:3451
Unique views:217
Comments:0

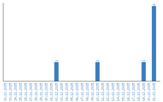
Viewing statistics by date