BusphotoBUSPHOTO

Picture Statistics

426 KB


Picture ID:148448
File Size:426 KB
Yazar:VicS12
Publication Date:13.04.2016 14:08 EET
Days in Database:3538
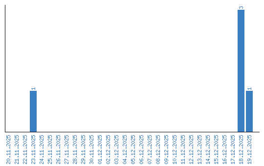
Unique views:148
Comments:5

Viewing statistics by date