BusphotoBUSPHOTO

Picture Statistics

254 KB


Picture ID:145429
File Size:254 KB
Author:olegp
Publication Date:26.02.2016 19:00 EET
Days in Database:3627
Unique views:406
Comments:0

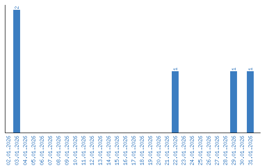
Viewing statistics by date