BusphotoBUSPHOTO

Picture Statistics

403 KB


Picture ID:145034
File Size:403 KB
Author:Серёга
Publication Date:20.02.2016 08:12 EET
Days in Database:3631
Unique views:94
Comments:0

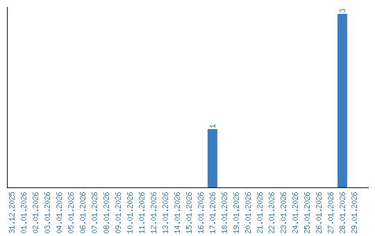
Viewing statistics by date