BusphotoBUSPHOTO

Picture Statistics

431 KB


Picture ID:143979
File Size:431 KB
Autorul:Daimler-Benz
Publication Date:02.02.2016 18:37 EET
Days in Database:3608
Unique views:238
Comments:0

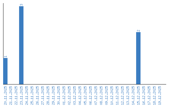
Viewing statistics by date