BusphotoBUSPHOTO

Picture Statistics

412 KB


Picture ID:142778
File Size:412 KB
Author:Седой
Publication Date:16.01.2016 07:57 EET
Days in Database:3678
Unique views:435
Comments:0

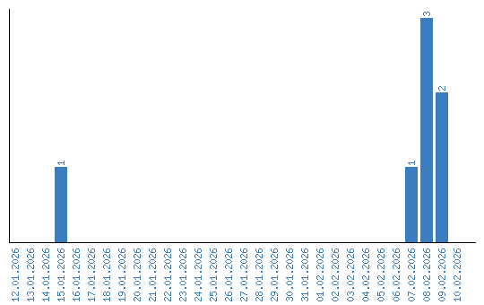
Viewing statistics by date