BusphotoBUSPHOTO

Picture Statistics

435 KB


Picture ID:139518
File Size:435 KB
Author:Ashark94
Publication Date:24.11.2015 17:47 EET
Days in Database:3719
Unique views:249
Comments:0

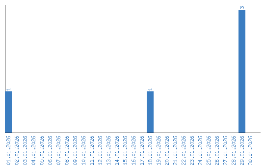
Viewing statistics by date