BusphotoBUSPHOTO

Picture Statistics

482 KB


Picture ID:134982
File Size:482 KB
Author:Артём Дмитренко
Publication Date:11.09.2015 23:42 EET
Days in Database:3795
Unique views:218
Comments:0

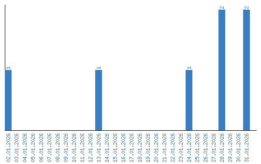
Viewing statistics by date