BusphotoBUSPHOTO

Picture Statistics

327 KB


Picture ID:133941
File Size:327 KB
Author:Archi
Publication Date:23.08.2015 12:56 EET
Days in Database:3819
Unique views:227
Comments:0

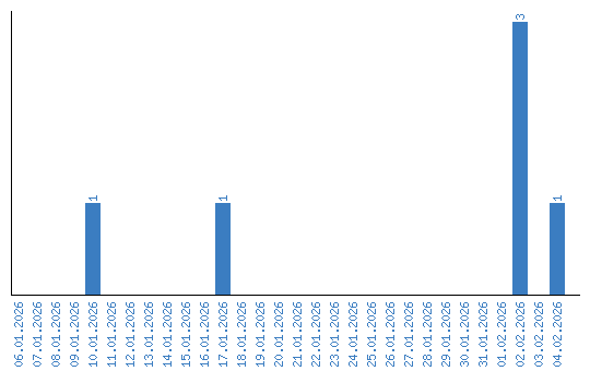
Viewing statistics by date