BusphotoBUSPHOTO

Picture Statistics

454 KB


Picture ID:121589
File Size:454 KB
Author:Серёга
Publication Date:18.12.2014 15:05 EET
Days in Database:4063
Unique views:201
Comments:0

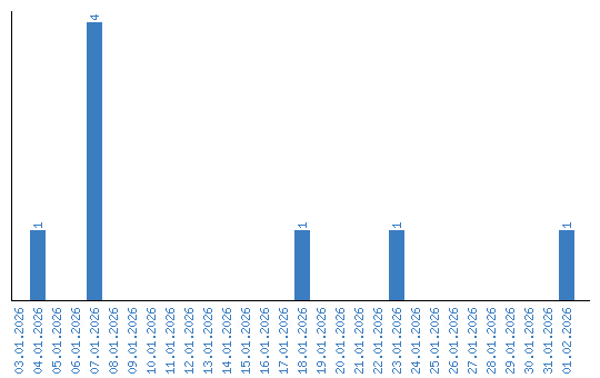
Viewing statistics by date