BusphotoBUSPHOTO

Picture Statistics

225 KB


Picture ID:119620
File Size:225 KB
Author:Серёга
Publication Date:09.11.2014 10:31 EET
Days in Database:4108
Unique views:563
Comments:0

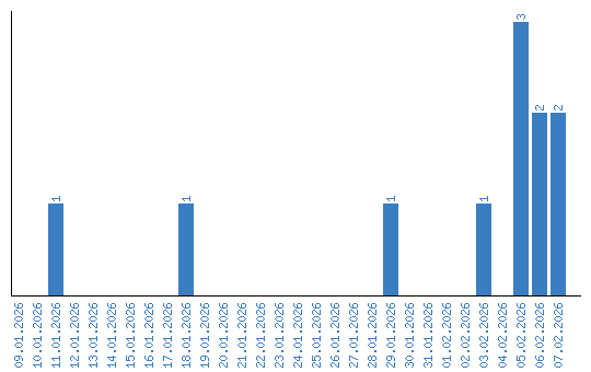
Viewing statistics by date