BusphotoBUSPHOTO

Picture Statistics

341 KB


Picture ID:116100
File Size:341 KB
Author:Lauri79
Publication Date:14.09.2014 19:08 EET
Days in Database:4155
Unique views:207
Comments:0

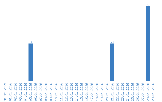
Viewing statistics by date