BusphotoBUSPHOTO

Picture Statistics

344 KB


Picture ID:115016
File Size:344 KB
Author:olegp
Publication Date:31.08.2014 18:05 EET
Days in Database:4173
Unique views:240
Comments:0

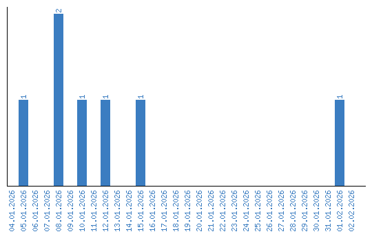
Viewing statistics by date