BusphotoBUSPHOTO

Picture Statistics

342 KB


Picture ID:110270
File Size:342 KB
Author:olegp
Publication Date:21.06.2014 03:25 EET
Days in Database:4242
Unique views:215
Comments:0

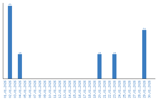
Viewing statistics by date