BusfotoBUSFOTO

Bildinformationen

320 KB


Foto-ID:108698
Dateigröße:320 KB
Aufgenommen von:Verbounty
Veröffentlicht am:28.05.2014 00:07 EET
Tage seit Veröffentlichung:4267
Aufrufe:132
Kommentare:0

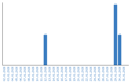
Aufrufestatistik (Tage)