BusphotoBUSPHOTO

Picture Statistics

343 KB


Picture ID:106952
File Size:343 KB
Author:Гена Климов
Publication Date:05.05.2014 14:36 EET
Days in Database:4291
Unique views:253
Comments:0

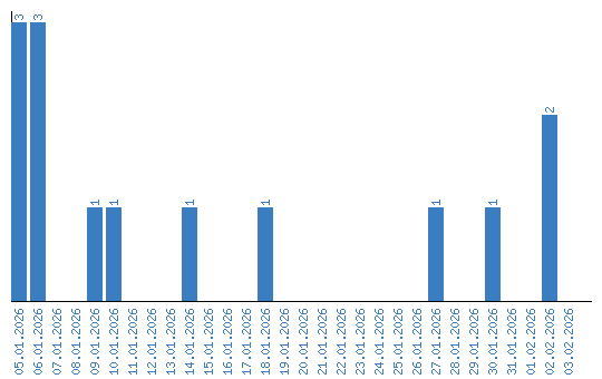
Viewing statistics by date