BusphotoBUSPHOTO

Picture Statistics

155 KB


Picture ID:1036
File Size:155 KB
Author:Bombik
Publication Date:05.03.2011 19:21 EET
Days in Database:5403
Unique views:227
Comments:0

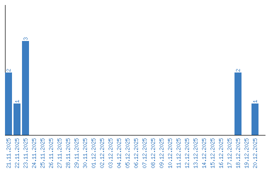
Viewing statistics by date