BusphotoBUSPHOTO

Picture Statistics

426 KB


Picture ID:101653
File Size:426 KB
Author:Седой
Publication Date:05.03.2014 11:24 EET
Days in Database:4353
Unique views:342
Comments:0

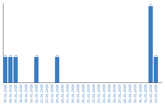
Viewing statistics by date